Tests für metrische Daten

Bisher sind zur Beantwortung statistischer Fragestellungen nur desc bzw. das ähnliche stats sowie das Kommando probdist bekannt. Die folgende Tabelle führt weitere Statistikprogramme auf, wobei zwischen abhängigen und unabhängigen Stichproben unterschieden wird und außerdem das Skalenniveau der Daten berücksichtigt wird:

 

metrische Daten

Ordinale Daten

abh. Stichproben

pair

(Pearson´s Produkt-Moment-Korrelation; t-Test für abhängige Stichproben)

rankrel

(Spearman-Rangkorrelation; Wilcoxon-Vorzeichen-Test)

unabh. Stichproben

oneway

(t-Test für unabhängige Stichproben; einfaktorielle Varianzanalyse)

rankind

(Mediantest)


Das Kommando pair

pair dient zur Berechnung von Pearson´s Produkt-Moment-Korrelation und von t-Tests für abhängige Stichproben. Input sind eine Reihe von jeweils zwei Zahlen pro Zeile. Es werden zusammenfassende Statistiken und Signifikanztests für die beiden Input-Variablen und deren Differenz berechnet, sowie Korrelation, einfache lineare Regression; außerdem ist eine graphische Darstellung möglich.

Ein Beispiel wäre die Berechnung der Korrelation zwischen Größe und Gewicht. Das Inputformat unserer Datei grgew.dat hat zwei Spalten und paßt somit genau für pair:

pair < grgew.dat

liefert folgenden Output:
Analysis for 18 points:
                         Column 1         Column 2       Difference
Minimums                 165.0000          51.0000          85.0000
Maximums                 197.0000          91.0000         122.0000
Sums                    3152.0000        1220.0000        1932.0000
SumSquares            553262.0000       85604.0000      208956.0000
Means                    175.1111          67.7778         107.3333
SDs                        8.7843          13.0949           9.6650
t(17)                     84.5754          21.9594          47.1162
p                          0.0000           0.0000           0.0000
 
     Correlation        r-squared            t(16)                p
          0.6747           0.4553           3.6568           0.0021
       Intercept            Slope
       -108.3568           1.0058

Folgende Elemente des Outputs bedürfen gesonderter Erklärung:

y = slope * x + intercept

Außerdem wurden 3 t-Tests für abhängige Stichproben durchgeführt; ihr Ergebnis ist in der Spalte
t(17) zu finden (dabei gilt für die Anzahl an Freiheitsgraden bei n Wertepaaren in der Stichprobe df = n - 1):

Dieser t-Test darf nicht mit der Datei rats.dat gerechnet werden, da dort unterschiedliche Versuchstiere verwendet wurden und somit eine unabhängige Stichprobe vorliegt.


Das Kommando oneway

oneway berechnet einen t-Test für unabhängige Stichproben oder eine einfaktorielle Varianzanalyse. Die Nullhypothese ist dabei, daß alle Mittelwerte gleich seien. Im einfachsten Fall liegen zwei unabhängige Stichproben vor, dann wird der t-Test eingesetzt; sind es mehr als zwei Stichproben, muß eine Varianzanalyse gerechnet werden.

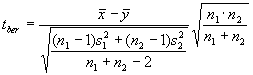
Eine Formel zur praktischen Berechnung (Bosch, Elementare Einführung in die angewandte Statistik, S.88) wäre die folgende:

;

aufgrund dieser aus den beiden Stichproben berechneten Prüfgröße ergeben sich dann mit der t-Verteilung mit n1 + n2 - 2 Freiheitsgraden die Testentscheidungen.

Für diese Programm ist ein ganz bestimmtes Inputformat erforderlich: Zuerst müssen die Werte für Gruppe 1 zeilenweise (also genau ein Element pro Zeile) aufgeführt werden, dann muß ein Splitter folgen (normalerweise die Zahl -1), dann erst die Werte für Gruppe 2 usw. Folgendes Beispiel mit der Beispieldatei ttest.dat soll dies veranschaulichen; sie ist folgendermaßen aufgebaut:

7
10
12
13
-1
7
9
13
16
15

Der Aufruf des Kommandos

oneway -t -p < ttest.dat | more
führt zur Berechnung eines t-Tests. Dabei bewirkt die Option -t, daß statt einer Varianzanalyse ein t-Test durchgeführt wird und die Option -p, daß ein kleiner ASCII-Plot erstellt wird. Will man einen anderen Splitter als -1 verwenden, kann man dies mit der Option -s tun (z.B. oneway -s 999 ... verwendet 999 als Splitter). Das Ergebnis des obigen Kommandos sieht folgendermaßen aus:
Name          N     Mean       SD      Min      Max
Group-1       5   10.200    2.387    7.000   13.000
Group-2       5   12.000    3.873    7.000   16.000
Total        10   11.100    3.178    7.000   16.000
 
Group-1   |<----=========(======#======)=========->                    |
Group-2   |<------==============(===========#==========)==============>|
           7.000                                                 16.000
 
Weighted Means Analysis:
t(8) = 0.885   p = 0.402

Als Hausaufgabe ist hausauf3.txt bearbeiten; eventuell beachten:


zurück zur Hauptseite zum Seminar "Rechnergestützte Auswertung von psychologischen Experimenten"

Anmerkungen und Mitteilungen an

rainer@zwisler.de

Last modified 12-17-98