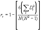
rs = Korrelation zwischen den Rängen über die Individuen.
Wenn keine Übereinstimmungen (ties) bei den Wertepaaren vorliegen, kann folgende einfache Formel zur Berechnung der Korrelation angeben:
,
wobei Di die Differenz zwischen den Rängen des Wertepaares i und N die Anzahl der Individuen bezeichnet. Die Hypothese der Unabhängigkeit der beiden Gruppen (also die Frage nach der Signifikanz der Korrelation) läßt sich ebenfalls mit Hilfe des Korrelationskoeffizienten überprüfen; dieser Test besitzt die folgende Form:
.
Der t-Wert ist mit N - 2 Freiheitsgraden verteilt, wobei N größer als 10 sein sollte. Die Rangkorrelation nach Spearman läßt sich mit dem Kommando rankrel berechnen:
rankrel < grgew.datFolgender Teil des Outputs ist dabei relevant:
Spearman Rank Correlation (rho) [corrected for ties]: Critical r (.05) t approximation 0.373886 Critical r (.01) t approximation 0.478511 rho 0.755353Der Output ist folgendermaßen zu interpretieren: Critical r (.05) t approximation gibt den Wert an, den die Korrelation mindestend erreichen muß, um bei einem Alpha-Niveau von 0.05 signifikant zu sein; Critical r (.01) t approximation nennt den entsprechenden Wert für ein alpha-Niveau von 0.01. rho gibt dann der Wert der Korrelation selbst an, der mit den beiden zuvor beschriebenen Werten verglichen werden kann.
Die getestete Hypothese ist, daß sich die beiden Populationen, aus denen die Werte der Wertepaare stammen, nicht unterscheiden: Wenn dies der Fall ist, dann ist es für jeden Rangplatz gleich wahrscheinlich, daß ihm ein positives oder negatives Vorzeichen zugewiesen wird. Auf dieser Grundlage läßt sich die exakte Verteilung von T für alle möglichen Randomisierungen bestimmen; für große Stichproben mit dem Umfang N ist die Stichprobe approximativ normalverteilt mit
![]()
so daß der Test für eine größere Stichprobe folgendermaßen aussieht:
.
N Min 25% Median 75% Max Cond-1 14 1.40 2.10 2.40 2.90 3.20 Cond-2 14 1.40 2.90 3.15 4.40 5.30 Total 28 1.40 2.30 2.90 3.20 5.30 Binomial Sign Test: Number of cases Cond-1 is above Cond-2: 0 Number of cases Cond-1 is below Cond-2: 10 One-tail probability (exact) 0.000977 Wilcoxon Matched-Pairs Signed-Ranks Test: Comparison of Cond-1 and Cond-2 T (smaller ranksum of like signs) 0.000000 N (number of signed differences) 10.000000 z 2.752095 One-tail probability approximation 0.002961 NOTE: Yates' correction for continuity applied Check a table for T with N = 10 Friedman Chi-Square Test for Ranks: Chi-square of ranks 7.142857 chisq 7.142857 df 1 p 0.007526 Check a table for Friedman with N = 14 Spearman Rank Correlation (rho) [corrected for ties]: Critical r (.05) t approximation 0.532413 Critical r (.01) t approximation 0.661376 rho 0.491695In diesem Beispiel ergibt sich ein z-Wert von etwa 2.75 (p = 0.003); das Ergebnis des Tests ist somit hoch signifikant.
Hausaufgabe 6 ist zu bearbeiten.
Der binomiale Vorzeichentest wird in Situationen verwendet, in denen N Paare von zusammengehörigen Beobachtungen vorliegen. Folgende Frage soll beantwortet werden: Ist auf lange Sicht die Verteilung der Werte der ersten Stichprobe gleich der Verteilung der Werte der zweiten Stichprobe, wenn alle möglichen Paare betrachtet werden könnten? Für alle Fälle, in denen die Differenz zwischen dem ersten und dem zweiten Wert positiv ist, wird ein "+" gemerkt, für die Fälle, in denen die Differenz negativ ist, ein "-". Sind die beiden Verteilungen wirklich gleich, sollte sich langfristig eine Wahrscheinlichkeit p(+) = p(-) = 0.5 ergeben. Um Aussagen zu der Hypothese p = 0.5 zu erhalten, wird die Wahrscheinlichkeit dafür berechnet, daß in einem Bernoulli-Prozeß so extreme oder extremere Ergebnisse erhalten werden, wenn p tatsächlich 0.5 ist. Ist diese Wahrscheinlichkeit genügend klein (z.B. < 0.05), wird die Hypothese p = 0.5 abgelehnt; dies impliziert, daß auch nicht von einer gleichen Verteilung ausgegangen werden kann. In unserem Beispiel ist das der Fall:
Binomial Sign Test: Number of cases Cond-1 is above Cond-2: 0 Number of cases Cond-1 is below Cond-2: 10 One-tail probability (exact) 0.000977Von den 14 Datenpaaren sind 4 genau gleich und in 10 Fällen ist der Wert in Gruppe 2 größer (in keinem Fall ist der Wert in Gruppe 1 größer).
Friedman´s Chi-Quadrat-Test für Ränge kann für J abhängige Gruppen berechnet werden. Es handelt sich um eine Erweiterung des Wilcoxon-Tests für abhängige Stichproben. Dieser Test kann angewendet werden, wenn K Mengen abhängiger Versuchspersonen vorliegen, wobei jede Menge aus J Versuchspersonen besteht, die zufällig einer der J Treatment-Bedingungen zugewiesen wurden. Der Test kann auch verwendet werden, wenn K Versuchspersonen J verschiedenen Treatments unterworfen werden. Die Daten werden in einer Tabelle angeordnet, in der jede Zelle eine einzelne experimentelle Beobachtung enthält. Die Zeilen entsprechen den K (Mengen an) Versuchspersonen, die Spalten den J Treatments:
|
Treatment J1 |
Treatment J2 |
Treatment J3 |
|
|
VP K1 |
x11 |
x12 |
< P ALIGN="CENTER">x13 |
|
VP K2 |
x21 |
x22 |
x23 |
|
VP K3 |
x31 |
x32 |
x33 |
|
Summe Ränge |
s1 |
s2 |
s3 |
Für jede Zeile werden die Rangplätze berechnet und diese werden dann spaltenweise aufaddiert. Dahinter steckt folgende Idee: In einer Population (die durch eine Zeile dargestellt ist), in der das Treatment keinen Effekt hat, sollten sich die Rangplätze zufällig verteilen; auf lange Sicht (wenn man über die verschiedenen Zeilen für die einzelnen Treatmentgruppen aufsummiert) sollten sich dann für alle Gruppe etwa gleiche Summen ergeben, da die verschiedenen Permutationen etwa gleich oft auftreten sollten. Aus den einzelnen Gruppen-Summen läßt sich eine Chi-Quadrat verteilte Prüfgröße errechen (Chi-square of ranks). In unserem Beispiel erhält man folgende Werte:
Friedman Chi-Square Test for Ranks: Chi-square of ranks 7.142857 chisq 7.142857 df 1 p 0.007526 Check a table for Friedman with N = 14Die Anzahl der Freiheitsgrade entspricht der Anzahl der Treatment-Stufen - 1.
Die folgende Eingabe
rankind < coffee2.datführt zu diesem Output:
N Min 25% Median 75% Max
Cond-1 10 179.00 188.00 194.50 201.00 215.00
Cond-2 10 189.00 199.00 214.50 221.00 231.00
Total 20 179.00 190.50 200.00 215.00 231.00
Median-Test:
Fisher Exact One-Tailed Probability 0.089448
Fisher Exact Other-Tail Probability 0.089448
Fisher Exact Two-Tailed Probability 0.178895
Cond-1 Cond-2
above 3 7 10
below 7 3 10
10 10 20
NOTE: Yates' correction for continuity applied
chisq 1.800000 df 1 p 0.179712
Mann-Whitney U:
U 81.000000
U' 19.000000
z(U) (corrected for ties) 2.344262
One tailed p(z(U)) 0.009532
Check a table for U with n = 10
Kruskal-Wallis:
H (not corrected for ties) 5.491429
Tie correction factor 0.998496
H (corrected for ties) 5.499699
chisq 5.499699 df 1 p 0.019020
Check a table for Kruskal-Wallis H
Bei den hier vorliegenden Daten handelt es sich um Reaktionszeiten. Diese sind nicht normalverteilt. Deshalb ist der Median ein adäquateres Maß der zentralen Tendenz als das arithmetische Mittel. Folgende Tests wurden im einzelnen berechnet:
Der Median-Test wird auch als Fisher´s exakter Test bezeichnet, dem folgender Grundgedanke zugrunde liegt: Wenn eine Stichprobe aus zwei identisch verteilten Populationen gezogen wurde (also eigentlich aus einer Population stammt), wird die kombinierte Stichprobe homogen sein; man kann deshalb die zwei Stichproben als zufällig aus einer kleinen Gesamtpopulation, nämlich der kombinierten Stichprobe, (ohne Zurücklegen) gezogen betrachten. Es wird getestet, ob sich die beiden Teilstichproben nur zufällig voneinander unterscheiden. Die dem Test zugrundeliegende Nullhypothese ist somit die folgende: Teilstichprobe 1 ist eine Zufallsstichprobe (die ohne Zurücklegen gezogen wurde) aus der kombinierten Stichprobe. Der Umfang der beiden unabhängigen Stichproben muß für diesen Test nicht gleich sein.
Zuerst wird der Gesamt-Median der gepoolten Stichprobe berechnet (bei geradzahligem Umfang der Gesamtstichprobe wird das arithmetische Mittel aus den beiden mittleren Werten als Median verwendet). Dann werden die beiden Werte
berechnet. Damit läßt sich für die erste Stichprobe die binomiale Wahrscheinlichkeit dafür berechnen, daß genau a1 aus den N1 Beobachtungen über dem Median liegen:
; analog läßt sich die Wahrscheinlichkeit für die zweite Stichprobe berechnen. Da man die beiden Stichproben als unabhängig betrachten kann, errechnet sich die gemeinsame Wahrscheinlichkeit dafür, daß a1 und a2 Werte über dem Median erhalten werden, aus dem Produkt der Einzelwahrscheinlichkeiten. In diesem Fall interessiert allerdings die bedingte Wahrscheinlichkeit dafür, daß a1 + a2 Werte über dem Median bei N1 + N2 Beobachtungen erhalten werden; sie läßt sich folgendermaßen errechnen:
.
Man testet hiermit, ob die Werte von a1 so extrem sind, daß ihr Auftreten unter der Bedingung, daß die beiden Stichproben gleich verteilt sind, extrem unwahrscheinlich wird (gleiches gilt für a2); solche Extremfälle führen dazu, die Nullhypothese zu verwerfen. Für den Test selbst wird eine Chi-Quadrat-verteilte Prüfgröße betrachtet. Das Ergebnis des Test sieht so aus:
Median-Test:
Fisher Exact One-Tailed Probability 0.089448
Fisher Exact Other-Tail Probability 0.089448
Fisher Exact Two-Tailed Probability 0.178895
Cond-1 Cond-2
above 3 7 10
below 7 3 10
10 10 20
NOTE: Yates' correction for continuity applied
chisq 1.800000 df 1 p 0.179712
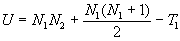
Beim Mann-Whitney U-Test werden direkt die Ränge der einzelnen Beobachtungen verrechnet. Dieser Test besitzt im allgemeinen gegenüber dem Mediantest eine deutlich größere Power. Die Wahrscheinlichkeits-Aussagen beziehen sich direkt auf alle möglichen Randomisierungen der selben Stichprobe von N Versuchspersonen unter verschiedenen Treatments. Nullhypothese ist, daß beide zu vergleichende Populationen gleich verteilt sind. Die Werte der kombinierten Stichproben werden in eine einzige Rangreihe gebracht, wobei jeder der Beobachtungen ein Rang zugewiesen wird. Dann werden die Ränge für die einzelnen Stichproben aufsummiert (T1 für die erste Stichprobe, T2 für die zweite); diese Rangsummen sollten etwa gleich groß sei, wenn beide Stichproben aus der selben Population stammen und dem Erwartungswert der Ränge entsprechen. Nun lassen sich zwei Größen berechnen:
Die verwendete Statistik ist der kleinere der beiden Werte U und U´. Diese Statistik ist normalverteilt; man erhält somit eine z-verteilte Prüfgröße. In unserem Beispiel erhalten wir:
Mann-Whitney U: U 81.000000 U' 19.000000 z(U) (corrected for ties) 2.344262 One tailed p(z(U)) 0.009532 Check a table for U with n = 10Auch hier liegt ein hochsignifikantes Ergebnis vor (p = 0.0095).
Die parameterfreie Varianzanalyse nach Kruskal-Wallis ist eine Erweiterung des U-Tests von Mann-Whitney. Auch hier werden die Scores aller J unabhängigen Gruppen gepoolt, nach der Größe sortiert und Rangplätzen zugewiesen; die Ränge beziehen sich also auf die Gesamtstichprobe. Dann wird die Rangsumme für jede einzelne Gruppe gebildet (Tj = Rangsumme für Gruppe j). Da es sich um unterschiedliche Gruppengrößen handeln kann, müssen diese Summen noch an der Gruppengröße relativiert werden. Für die Prüfgröße H gilt folgende Formel:
.
Kommen gleiche Werte (ties) vor, muß noch eine Korrektur erfolgen:

Dabei ist G die Anzahl der Gleichstände und ti die Anzahl der Gleichstände in einer Gruppe i. Der für H errechnete Wert ist Chi-Quadrat-verteilt mit J - 1 Freiheitsgraden (bei der Nullhypothese, daß sich die Gruppen nicht unterscheiden). Für das angegebene Beispiel erhält man:
Kruskal-Wallis: H (not corrected for ties) 5.491429 Tie correction factor 0.998496 H (corrected for ties) 5.499699 chisq 5.499699 df 1 p 0.019020 Check a table for Kruskal-Wallis H
Jede einzelne Beobachtung wird dabei in nur eine Kategorie der ersten Variable oder in eine Kategorie der zweiten Variable eingeordnet (landet also genau in einem der vier Felder). Die Daten liegen also in folgendem Format vor:
|
a |
b |
a + b |
|
c |
d |
c + d |
|
a + c |
b + d |
N |
Die Kleinbuchstaben a, b, c und d repräsentieren die Häufigkeiten in den einzelnen Zellen. Der Wert für c 2 läßt sich dann auf folgende Art bestimmen:
(mit einem Freiheitsgrad).
Dieser Wert wird normalerweise mit der Yates´ correction for continuity korrigiert, um eine bessere Annäherung an die exakte multinomiale Wahrscheinlichkeit zu erhalten (diese Korrektur sollte nur angewandt werden, wenn genau ein Freiheitsgrad vorliegt). Mit der Korrektur wird der Wert nach folgender Formel gefunden:
.
Für den Chi-Quadrat-Unabhängigkeitstest wird dann das Kommando contab verwendet. In der Datendatei stehen genau vier Zeilen; jede Zeile enthält drei Einträge:
Eine Beispielsdatei (4feld.dat) sieht dementsprechend folgendermaßen aus:
raucher trinker 30 raucher antialk 10 nonsmoke trinker 8 nonsmoke antialk 16Damit läßt sich beispielsweise feststellen, ob die beiden Verhaltensweisen Rauchen und Trinken voneinander unabhängig sind:
contab < 4feld.dat
Es wird folgender Output erzeugt:
FACTOR: A B DATA
LEVELS: 2 2 64
A count
raucher 40
nonsmoke 24
Total 64
NOTE: Yates' correction for continuity applied
chisq 3.515625 df 1 p 0.060793
B count
trinker 38
antialk 26
Total 64
NOTE: Yates' correction for continuity applied
chisq 1.890625 df 1 p 0.169131
SOURCE: A B
trinker antialk Totals
raucher 30 10 40
nonsmoke 8 16 24
Totals 38 26 64
Analysis for A x B:
NOTE: Yates' correction for continuity applied
chisq 9.137922 df 1 p 0.002504
Fisher Exact One-Tailed Probability 0.001212
Fisher Exact Other-Tail Probability 0.000329
Fisher Exact Two-Tailed Probability 0.001541
phi Coefficient == Cramer's V 0.377862
Contingency Coefficient 0.353470
Zuerst wird also für jede der beiden Variablen ein Mediantest berechnet; schließlich wird der Chi-Quadrat-Unabhängigkeitstest durchgeführt. Folgende Begriffe bedürfen noch einer Erklärung:
;
dieser Populationsindex kann nur dann Null werden, wenn komplette Unabhängigkeit vorliegt (wenn also
). Für eine Menge an Daten, die in einer RxC-Tabelle stehen, läßt sich der Koeffizient der Stichprobe
einfach berechnen. Cramer´s Statistik, deren Wert zwischen 0 und 1 liegen muß, beschreibt die in der Stichprobe vorliegende Stärke der Assoziation:
(wobei L die kleinere der beiden Zahlen R und C ist).

zurück zur Hauptseite zum Seminar "Rechnergestützte Auswertung von psychologischen Experimenten"
Anmerkungen und Mitteilungen an
rainer@zwisler.de